Measuring the overall affect of customers in a consumer referral program by traversing oblique referrals
Inside many trendy software program merchandise, there’s a probability for customers to refer/promote the applying to different customers. A pure query to ask with these referral applications is: “who’s our most influential consumer promoter of the product?” One naive technique to reply this query is to easily depend the entire referrals that every consumer has made, and declare the consumer with probably the most referrals to be probably the most influential.
This method misses crucial factors. Specifically:
- A consumer shouldn’t be rewarded for referring an influential consumer. I.e. they don’t get any credit score for referring a consumer who in flip refers extra customers
- There is no such thing as a reward for referring customers who pay extra. On this method, a consumer may refer somebody who pays little or no, and be deemed simply as influential as another person who referred a excessive spender
In consequence, we’ll be taking a look at an alternate technique to view this downside. We are going to as a substitute be taking recursive walks down the referral graphs of customers to calculate each the weighted and unweighted whole impact of a customers referrals.
Defining a Consumer Referral Tree
A consumer referral tree is a illustration of how customers promote a services or products to others, usually visualized as a directed graph. On this tree:
- Nodes signify particular person customers.
- Edges signify referral relationships, the place a directed edge from consumer A to consumer B signifies that consumer A referred consumer B.
Let’s use the next referral tree for example:
Right here we are able to see that there are 4 whole customers on this tree: Consumer A, B, C, and D. We are able to interpret the arrows as one consumer referring one other consumer into the product. So, consumer A has referred two customers, Consumer B and Consumer C. In flip, Consumer C has referred one consumer themself: Consumer D.
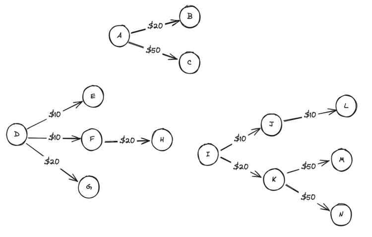
Toy Information
Let’s assume that we’re analyzing a SaaS product that sells subscriptions to a tv service. There are three tiers of subscription: primary ($10), full ($20), and professional ($50). The consumer referral knowledge for this product appears to be like as follows:
Visualizing this knowledge, we find yourself with a directed and disconnected graph construction that appears as such:
Evaluation
Utilizing our instance knowledge, if we have been to make use of the depend of direct referrals because the measure for consumer affect, we might find yourself with Consumer D being probably the most influential (3 direct referrals). Nevertheless, given what we are able to see from the graph, we have now cause to imagine that this can be deceptive. Let’s discover another methods we are able to method the issue, utilizing recursive walks down the “referral tree” of each given consumer.
The essential algorithm
Right here, we’re merely calculating the variety of direct referrals {that a} consumer has referred, and recursively including the variety of referrals that every of these direct referrals has given. This rewards customers who refer customers who in flip refer extra customers.
With this system, our most influential consumer (the one who has probably the most related downstream referrals) is Consumer I, whose full referral tree contains 5 customers.
- Consumer A = 2, Consumer D = 4, Consumer I = 5, Consumer F = 1, Consumer J = 1, Consumer Okay = 2
Weighting the algorithm
With the earlier technique, we bought a greater understanding of the overall referral affect of a given consumer. That technique did not account for the standard of every of those referrals. To proxy referral high quality, we’re going to be utilizing the quantity of income {that a} given consumer is producing. This quantity of income can be used as a “weight” on any given referral.
As we are able to see, our most influential consumer with the tactic continues to be Consumer I, when contemplating the overall income {that a} consumer has instantly or not directly referred.
- Consumer A = $70, Consumer D = $60, Consumer I = $140, Consumer F = $20, Consumer J = $10, Consumer Okay = $100
Decaying the algorithm
Each of the earlier strategies helped us get a greater understanding of the overall affect of a consumer’s referrals. To take this one step additional, we’d additionally think about the truth that an oblique referral (i.e. a referral of a referral) is much less influenced by that authentic consumer. To appropriate for this truth, we are able to “decay” or cut back the quantity of attribution {that a} consumer will get as referral layers get additional and additional away. There are quite a few choices for what this decay operate may seem like, however will probably be stored easy right here for the needs of our instance. We are going to merely consumer a fraction of 1 divided by the present layers of distance.
This time, we find yourself in a tie between Consumer D and Consumer I.
- Consumer A = 2, Consumer D = 3.5, Consumer I = 3.5, Consumer F = 1, Consumer J = 1, Consumer Okay = 2
Placing all of it collectively
Now all three strategies (recursive counting, income weighting, and decayed affect) will be utilized in tandem to get a full image of which consumer is having probably the most affect in our referral tree.
Surprisingly, we now discover that Consumer Okay is our most influential referrer. Though they’ve solely referred a pair customers, the overall direct income affect of these customers outweighs some other referring consumer. This decaying of the weighted affect can also be why Consumer I has dropped out of being probably the most influential (a lot of the weighted affect is occurring not directly)
- Consumer A = $70, Consumer D = $50, Consumer I = $85, Consumer F = $20, Consumer J = $10, Consumer Okay = $100
Conclusion
Precisely measuring the affect of customers in a referral program goes past merely counting direct referrals. By leveraging recursive walks down consumer referral timber, incorporating income weights, and making use of decay components, we acquire a deeper understanding of particular consumer affect.
This method rewards customers not only for the amount but in addition the standard of their referrals, accounting for each the income generated and the cascading affect of their tree. It highlights the significance of a holistic view when assessing referral affect, making certain that customers who contribute to the long-term progress and profitability of the tree are appropriately acknowledged. Notice, the strategies introduced above are solely meant to function a place to begin, and there are doubtlessly limitless methods to adapt the above to reach at an attribution system that greatest displays your product.
Via these methodologies, referral applications will be optimized for influential consumer patterns, and design incentive constructions that align with progress on this space. In the end, this refined measurement ensures truthful attribution and helps unlock a clearer perspective of referral-driven progress.
 
			


 
                                
